Công thức nhũ tương nhựa đường

Khi nghiên cứu về công thức nhũ tương nhựa đường, vấn đề quan trọng và phức tạp nhất chính là tính ổn định. Nhũ tương thực chất là một dung dịch chứa những hạt nhựa đường không tan trong nước, được phân tán nhờ chất nhũ hóa. Dung dịch này cần ổn định để có thể dự trữ, bảo quản và vận chuyển mà không bị tách lớp.

Tuy nhiên, điểm đặc biệt là ngay khi được rải ra mặt đường trong quá trình thi công thảm bê tông nhựa nóng tại Hà Nội, cấu trúc ổn định ấy lại phải nhanh chóng phá vỡ để đảm bảo sự dính bám tốt giữa nhựa đường và cốt liệu.

Từ góc độ kỹ thuật, ba đặc tính cơ bản nhất để đánh giá một loại nhũ tương nhựa đường bao gồm:

  • Độ ổn định của nhũ tương
  • Độ dính bám với cốt liệu
  • Độ nhớt

Độ ổn định của nhũ tương

Tính ổn định của nhũ tương nhựa đường có thể được xem xét ở hai khía cạnh tưởng như mâu thuẫn:

  • Ổn định trong quá trình lưu kho và bảo quản
  • Tốc độ phá vỡ cấu trúc khi tiếp xúc với cốt liệu

Ổn định trong quá trình tồn chứa

Trong quá trình bảo quản, nhũ tương nhựa đường có thể gặp hiện tượng lắng đọng do trọng lực. Khi đó dung dịch tách thành 2 lớp: lớp phía trên loãng hơn, lớp phía dưới đặc hơn.

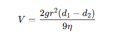
Vận tốc lắng của các hạt có thể tính bằng định luật Stokes:

Công thức nhũ thương tính vận tốc lắng
Vận tốc lắng của hạt nhũ tương nhựa đường

Trong đó:

  • g: gia tốc trọng lực
  • r: bán kính hạt nhũ tương
  • d1: khối lượng riêng của bê tông nhựa asphalt
  • d2: khối lượng riêng của nhũ tương
  • η: độ nhớt của nhũ tương

Tuy nhiên, công thức này chỉ đúng trong trường hợp các hạt chuyển động tự do. Trong nhũ tương, các hạt nhựa đường xếp sít nhau, do đó vận tốc lắng thực tế chậm hơn so với kết quả tính toán.

Ngoài trọng lực, trong nhũ tương còn tồn tại hai loại lực khác:

  • Lực đẩy tĩnh điện: hình thành từ các ion chất nhũ hóa trên bề mặt hạt nhựa đường. Lực này giúp ngăn các hạt kết tụ. Nó có thể tăng khi tăng nồng độ chất nhũ hóa, hoặc giảm nếu có quá nhiều ion trái dấu.
  • Lực hút giữa các hạt: phụ thuộc vào kích thước và mật độ hạt. Khi hạt lớn hoặc phân bố đồng đều, lực hút có thể biến thành lực đẩy.

Quá trình lắng và kết hợp hạt diễn ra theo hai bước:

  • Kết đám (Flocculation): các hạt nhựa đường tụ lại thành từng chùm giống chùm nho.
  • Hòa nhập (Coalescence): các hạt nhỏ dần hòa nhập tạo hạt lớn hơn. Quá trình này không thể đảo ngược, có thể xảy ra tự phát hoặc do tác động cơ học.

Tốc độ phá vỡ cấu trúc khi tiếp xúc với cốt liệu

Trong dung dịch nhũ tương, chất nhũ hóa tồn tại ở cả hai pha: trong nước và trên bề mặt hạt nhựa đường. Các ion của chất nhũ hóa duy trì trạng thái cân bằng điện tích.

Khi nhũ tương tiếp xúc với cốt liệu khoáng, bề mặt cốt liệu (mang điện tích âm) sẽ hút các ion từ dung dịch. Điều này làm suy yếu điện tích bảo vệ trên bề mặt hạt nhựa đường, khởi đầu cho quá trình phá vỡ cấu trúc nhũ tương.

Khi điện tích giảm đến mức nhất định, các hạt nhựa đường bắt đầu liên kết, giải phóng nhựa đường ra khỏi dung dịch. Lúc này, bề mặt cốt liệu được bao phủ bởi lớp hydrocarbon, tạo nên sự dính bám bền chặt.

Độ dính bám của nhũ tương

Trong mọi ứng dụng xây dựng đường, yêu cầu tiên quyết là nhựa đường phải bám dính tốt lên bề mặt cốt liệu. Quá trình này phụ thuộc vào khả năng “làm ướt” bề mặt cốt liệu:

Tìm hiểu độ dính bám của nhũ tương
Độ dính bám của nhũ tương nhựa đường
  • Nếu cốt liệu khô, nhựa đường dễ dàng lan tỏa tạo tiếp xúc tối đa.
  • Nếu bề mặt ướt (bị bao phủ bởi nước), quá trình bám dính trở nên phức tạp hơn do xuất hiện tương tác 3 pha (nhựa đường – nước – cốt liệu).

Các chất nhũ hóa cation (mang điện tích dương) đặc biệt hiệu quả vì chúng làm giảm năng lượng bề mặt tự do của cốt liệu, từ đó giúp nhựa đường dễ lan rộng và bám dính hơn.

Chất lượng dính bám phụ thuộc vào nhiều yếu tố:

  • Loại và liều lượng chất nhũ hóa
  • Chất lượng, thành phần nhựa đường
  • Độ pH của dung dịch nhũ hóa
  • Kích cỡ hạt nhũ tương
  • Chủng loại cốt liệu

Độ nhớt của nhũ tương

Độ nhớt là yếu tố then chốt, đặc biệt khi nhũ tương được sử dụng dưới dạng phun sương. Độ nhớt quyết định khả năng phân tán từ hệ thống dàn phun, ảnh hưởng trực tiếp đến sự đồng đều khi rải trên bề mặt đường.

Tìm hiểu độ nhớ nhũ tương nhựa đường
Độ nhớt của nhũ tương

Các tiêu chuẩn quốc tế, chẳng hạn BS 434: Phần 1 & 2 (1984) của Anh, đã quy định chi tiết về độ nhớt của nhũ tương cation và anion.

Độ nhớt phụ thuộc vào nhiều yếu tố, theo tổng hợp từ công ty cổ phần xây dựng T&C Việt Nam như đó là phụ thuộc:

  • Thành phần nhựa đường
  • Loại chất nhũ hóa
  • Tỷ lệ nước
  • Nhiệt độ khi thi công

Kết luận

Nhũ tương nhựa đường là một loại vật liệu đặc biệt, đòi hỏi sự cân bằng tinh tế giữa ổn định trong bảo quản và khả năng phá vỡ nhanh khi sử dụng. Ba chỉ tiêu quan trọng nhất – độ ổn định, độ bám dính và độ nhớt – chính là chìa khóa để quyết định chất lượng và hiệu quả thi công của loại vật liệu này.

Trả lời

Email của bạn sẽ không được hiển thị công khai. Các trường bắt buộc được đánh dấu *